Integral Formula Sheet - Integrals of exponential and logarithmic functions ∫ ln x dx = x ln x − x + c + 1 x Indefinite integrals rules integration by parts ∫ uv′ = uv − ∫ u′v integral of a constant ∫f (a) dx = x · f (a) take the constant out ∫a · f (x) dx = a · ∫f (x) dx Integral calculus formula sheet derivative rules:
Indefinite integrals rules integration by parts ∫ uv′ = uv − ∫ u′v integral of a constant ∫f (a) dx = x · f (a) take the constant out ∫a · f (x) dx = a · ∫f (x) dx Integrals of exponential and logarithmic functions ∫ ln x dx = x ln x − x + c + 1 x Integral calculus formula sheet derivative rules:
Indefinite integrals rules integration by parts ∫ uv′ = uv − ∫ u′v integral of a constant ∫f (a) dx = x · f (a) take the constant out ∫a · f (x) dx = a · ∫f (x) dx Integral calculus formula sheet derivative rules: Integrals of exponential and logarithmic functions ∫ ln x dx = x ln x − x + c + 1 x
Integration Formulas Sheet
Integral calculus formula sheet derivative rules: Indefinite integrals rules integration by parts ∫ uv′ = uv − ∫ u′v integral of a constant ∫f (a) dx = x · f (a) take the constant out ∫a · f (x) dx = a · ∫f (x) dx Integrals of exponential and logarithmic functions ∫ ln x dx = x ln x.
Integration Formulas Sheet
Indefinite integrals rules integration by parts ∫ uv′ = uv − ∫ u′v integral of a constant ∫f (a) dx = x · f (a) take the constant out ∫a · f (x) dx = a · ∫f (x) dx Integrals of exponential and logarithmic functions ∫ ln x dx = x ln x − x + c + 1.
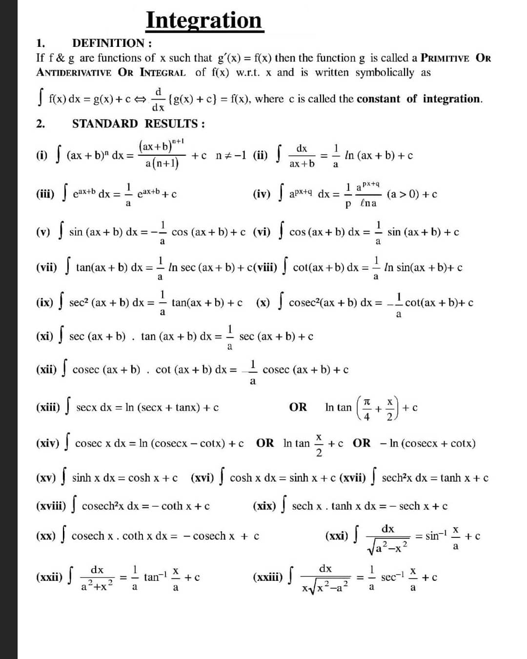
Maths Formulas Of Integration And Differentiation Complete Guide
Integrals of exponential and logarithmic functions ∫ ln x dx = x ln x − x + c + 1 x Integral calculus formula sheet derivative rules: Indefinite integrals rules integration by parts ∫ uv′ = uv − ∫ u′v integral of a constant ∫f (a) dx = x · f (a) take the constant out ∫a · f (x).
Integral Formula Sheet
Integrals of exponential and logarithmic functions ∫ ln x dx = x ln x − x + c + 1 x Integral calculus formula sheet derivative rules: Indefinite integrals rules integration by parts ∫ uv′ = uv − ∫ u′v integral of a constant ∫f (a) dx = x · f (a) take the constant out ∫a · f (x).
Integral Formula Sheet
Indefinite integrals rules integration by parts ∫ uv′ = uv − ∫ u′v integral of a constant ∫f (a) dx = x · f (a) take the constant out ∫a · f (x) dx = a · ∫f (x) dx Integral calculus formula sheet derivative rules: Integrals of exponential and logarithmic functions ∫ ln x dx = x ln x.
Basic Integration Formula Sheet
Indefinite integrals rules integration by parts ∫ uv′ = uv − ∫ u′v integral of a constant ∫f (a) dx = x · f (a) take the constant out ∫a · f (x) dx = a · ∫f (x) dx Integral calculus formula sheet derivative rules: Integrals of exponential and logarithmic functions ∫ ln x dx = x ln x.
Integration Formulas Sheet
Integral calculus formula sheet derivative rules: Indefinite integrals rules integration by parts ∫ uv′ = uv − ∫ u′v integral of a constant ∫f (a) dx = x · f (a) take the constant out ∫a · f (x) dx = a · ∫f (x) dx Integrals of exponential and logarithmic functions ∫ ln x dx = x ln x.
Integration Formulas Sheet
Integrals of exponential and logarithmic functions ∫ ln x dx = x ln x − x + c + 1 x Integral calculus formula sheet derivative rules: Indefinite integrals rules integration by parts ∫ uv′ = uv − ∫ u′v integral of a constant ∫f (a) dx = x · f (a) take the constant out ∫a · f (x).
Integral Formula Sheet
Indefinite integrals rules integration by parts ∫ uv′ = uv − ∫ u′v integral of a constant ∫f (a) dx = x · f (a) take the constant out ∫a · f (x) dx = a · ∫f (x) dx Integrals of exponential and logarithmic functions ∫ ln x dx = x ln x − x + c + 1.
Integral Calculus Formula Sheet Derivative Rules:
Indefinite integrals rules integration by parts ∫ uv′ = uv − ∫ u′v integral of a constant ∫f (a) dx = x · f (a) take the constant out ∫a · f (x) dx = a · ∫f (x) dx Integrals of exponential and logarithmic functions ∫ ln x dx = x ln x − x + c + 1 x






